CA Drinking Water Watch

Links

PS Code Transition

Water System Details

Water System Facilities  

Monitoring Schedules

Monitoring Results

Monitoring Results By Analyte

Lead And Copper Sampling

Violations/Enforcement Actions

Site Visits

Consumer Confidence Reports

  • Templates
  • 2024
  • 2023
  • 2022
  • 2021
  • 2020
  • 2019

Lead Service Line Documents

Return Links

Water System Search

County Map

Glossary

Contact Info

 

 

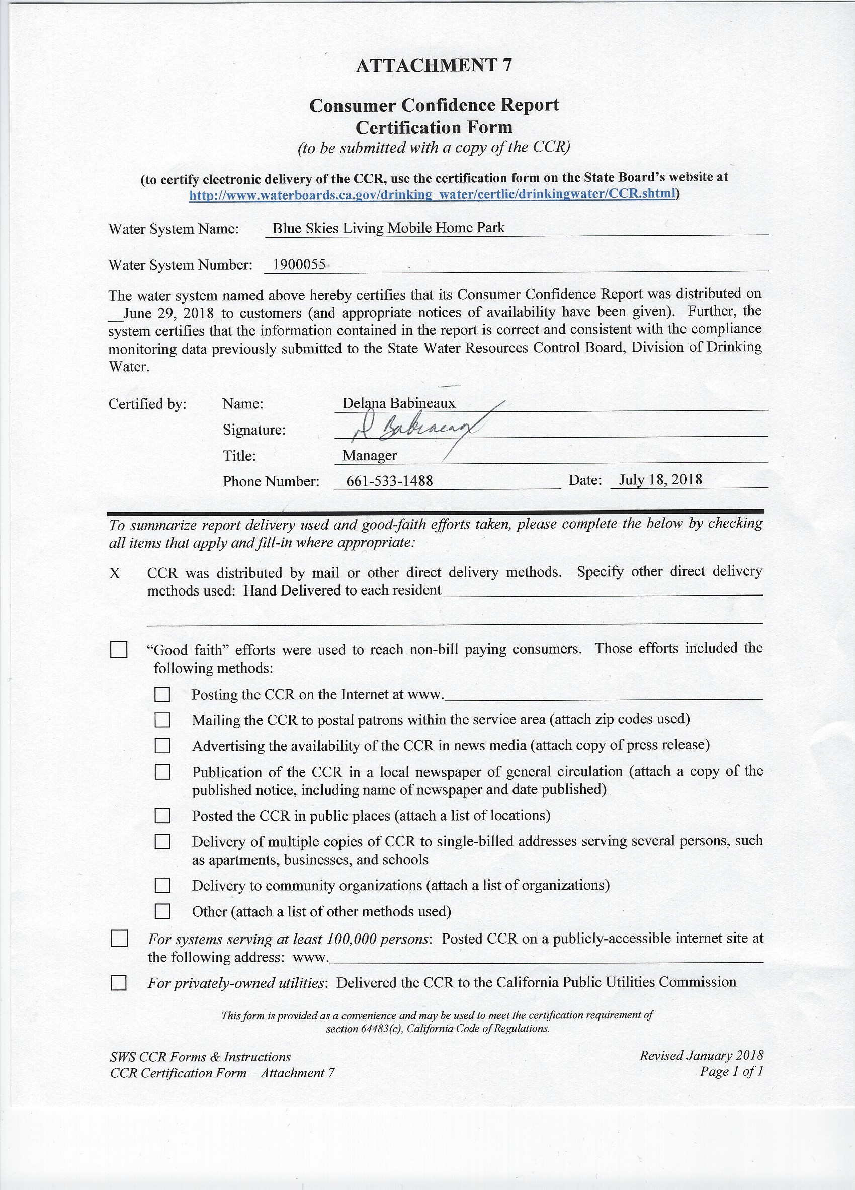
Consumer Confidence Reports


Water System No. : CA1900055 Federal Type : C
Water System Name : BLUE SKIES TRAILOR PARK State Type : C
Principal County Served : LOS ANGELES Primary Source : GW
Status : A Activity Date : 08-08-2016
Distribution System Classification : D1 Max Treatment Plant Classification : T2

Year Document Types
2019 Report Certification