CA Drinking Water Watch

Links

PS Code Transition

Water System Details

Water System Facilities  

Monitoring Schedules

Monitoring Results

Monitoring Results By Analyte

Lead And Copper Sampling

Violations/Enforcement Actions

Site Visits

Consumer Confidence Reports

  • Templates
  • 2024
  • 2023
  • 2022
  • 2021
  • 2020
  • 2019

Lead Service Line Documents

Return Links

Water System Search

County Map

Glossary

Contact Info

 

 

Consumer Confidence Reports


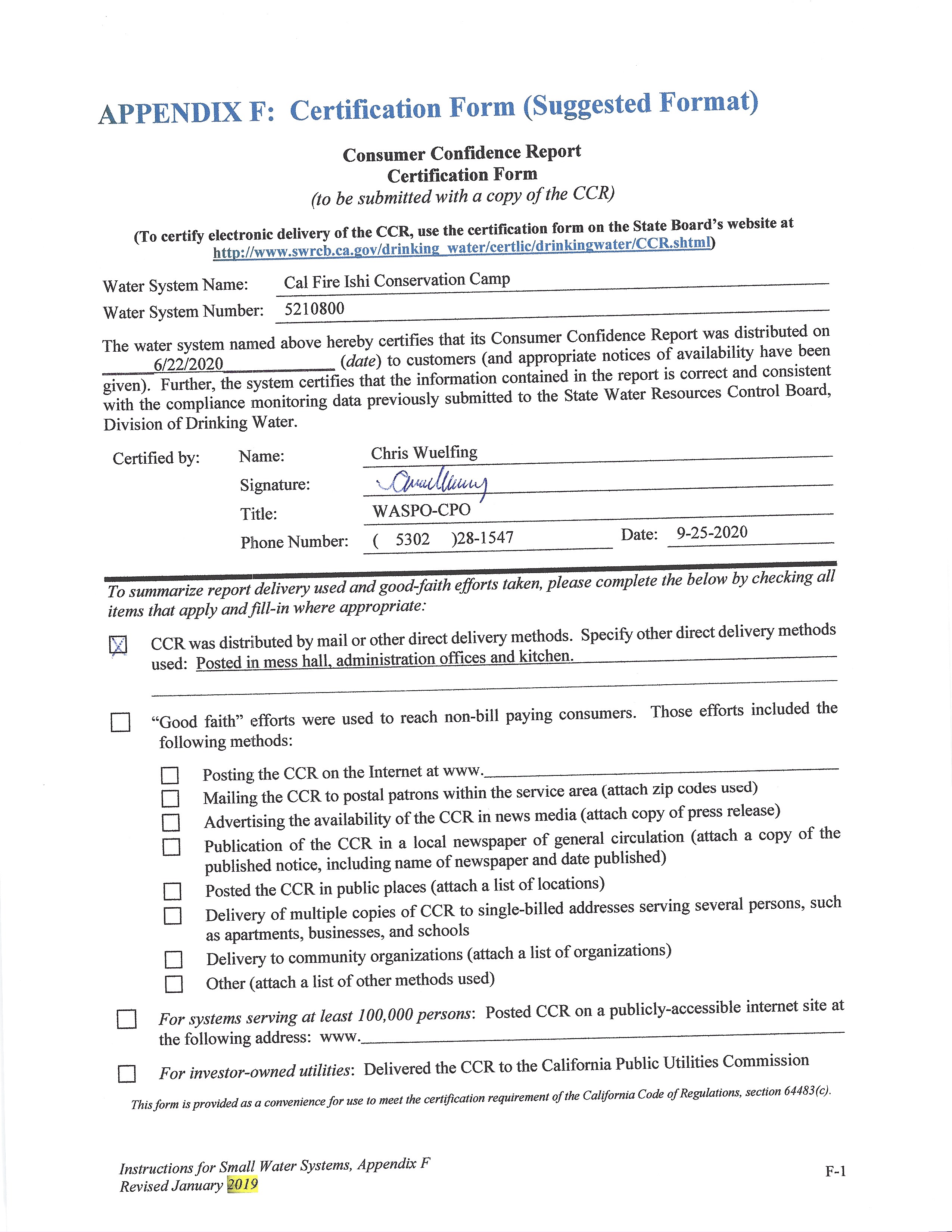
Water System No. : CA5210800 Federal Type : NTNC
Water System Name : CAL FIRE - ISHI CONSERVATION CAMP State Type : NTNC
Principal County Served : TEHAMA Primary Source : GW
Status : A Activity Date : 03-31-1980
Distribution System Classification : D1 Max Treatment Plant Classification : TD

Year Document Types
2019 Report Certification