CA Drinking Water Watch

Links

PS Code Transition

Water System Details

Water System Facilities  

Monitoring Schedules

Monitoring Results

Monitoring Results By Analyte

Lead And Copper Sampling

Violations/Enforcement Actions

Site Visits

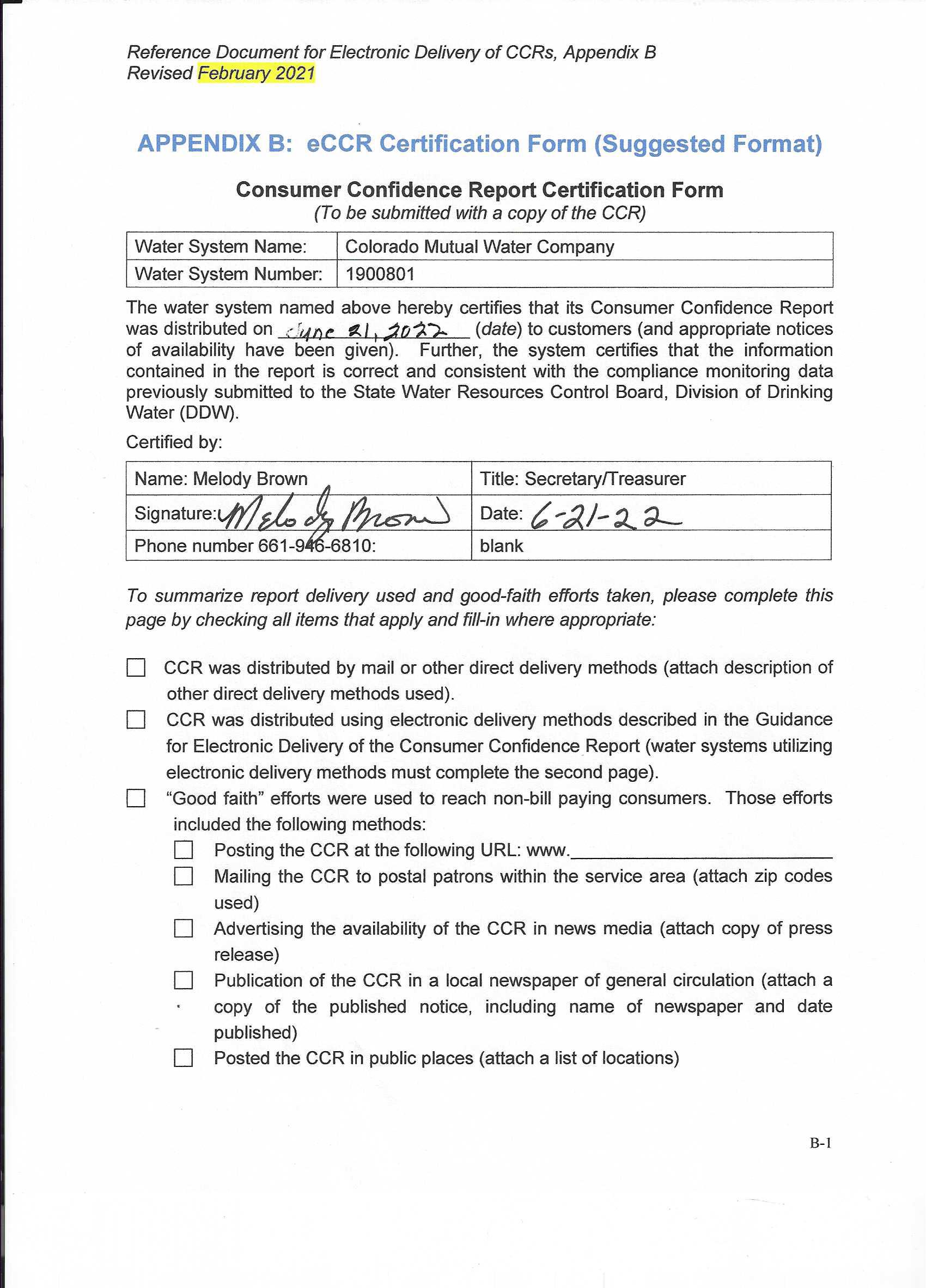
Consumer Confidence Reports

  • Templates
  • 2025
  • 2024
  • 2023
  • 2022
  • 2021
  • 2020

Lead Service Line Documents

Return Links

Water System Search

County Map

Glossary

Contact Info

 

 

Consumer Confidence Reports


Water System No. : CA1900801 Federal Type : C
Water System Name : COLORADO MUTUAL WATER COMPANY State Type : C
Principal County Served : LOS ANGELES Primary Source : GW
Status : A Activity Date : 08-08-2016
Distribution System Classification : D1 Max Treatment Plant Classification : There are no treatment plants

Year Document Types
2021 Report Certification