CA Drinking Water Watch

Links

PS Code Transition

Water System Details

Water System Facilities  

Monitoring Schedules

Monitoring Results

Monitoring Results By Analyte

Lead And Copper Sampling

Violations/Enforcement Actions

Site Visits

Consumer Confidence Reports

  • Templates
  • 2025
  • 2024
  • 2023
  • 2022
  • 2021
  • 2020

Lead Service Line Documents

Return Links

Water System Search

County Map

Glossary

Contact Info

 

 

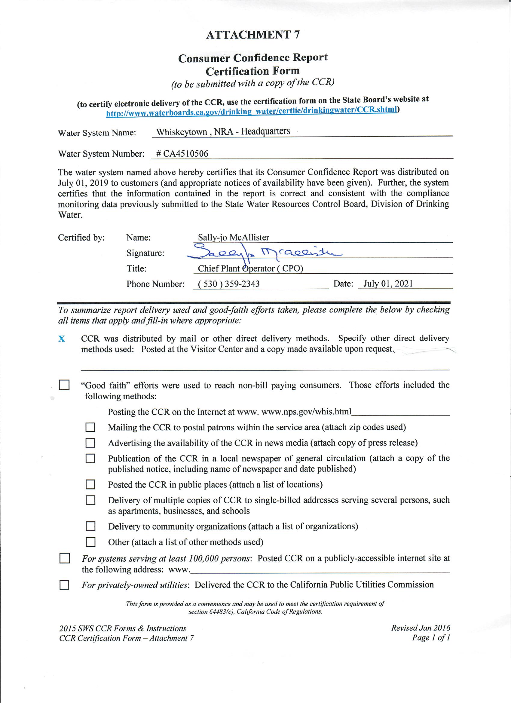
Consumer Confidence Reports


Water System No. : CA4510506 Federal Type : NTNC
Water System Name : WHISKEYTOWN NRA-HEADQUARTERS State Type : NTNC
Principal County Served : SHASTA Primary Source : SW
Status : A Activity Date : 01-01-1976
Distribution System Classification : D1 Max Treatment Plant Classification : T2

Year Document Types
2021 Report Not Available Certification