CA Drinking Water Watch

Links

PS Code Transition

Water System Details

Water System Facilities  

Monitoring Schedules

Monitoring Results

Monitoring Results By Analyte

Lead And Copper Sampling

Violations/Enforcement Actions

Site Visits

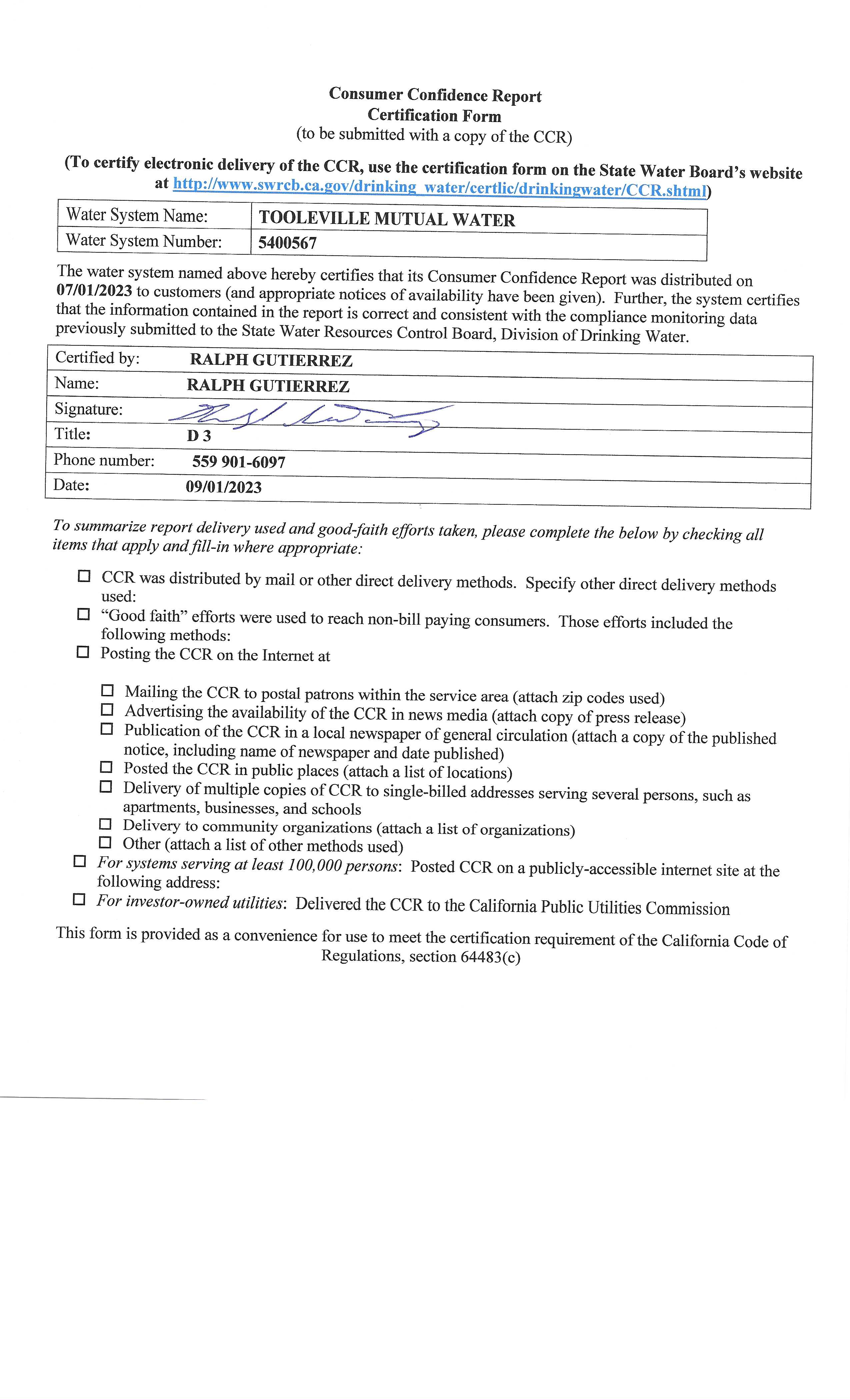
Consumer Confidence Reports

  • Templates
  • 2025
  • 2024
  • 2023
  • 2022
  • 2021
  • 2020

Lead Service Line Documents

Return Links

Water System Search

County Map

Glossary

Contact Info

 

 

Consumer Confidence Reports


Water System No. : CA5400567 Federal Type : C
Water System Name : TOOLEVILLE MUTUAL NON PROFIT WATER ASSN State Type : C
Principal County Served : TULARE Primary Source : GW
Status : A Activity Date : 04-28-2014
Distribution System Classification : D1 Max Treatment Plant Classification : TD

Year Document Types
2022 Report Certification